calculált és mért fázisú készítmények: A C-és a C-phase (&cc és cc&) kompozíciókat anégy vizsgált ötvözetben 3D APT-vel (ERBO 1) [36] és a TEM-EDX (ERBO 15 és származékai) [32]. A kísérleti eredményeket a két fázis táblázatokban mutatjuk be a 7. (c-phase) és a 8 (c-&fázis). A 7. és a 8. táblázat tartalmazza a 1143 K hőmérsékleten kapott termocalc előrejelzéseket (az összes ötvözet második csapadékkezelési lépése), 1413 K és 1583 K (ERBO/1; az első csapadékkezelési lépés és homogenizálás hőmérséklete) és a 1313 K és 1583 K (ERBO/15 variánsai; hőmérséklete első kikeverési kezelési lépés, és a homogenizálást, sorrendben). Mivel a C-phase kisebb mennyiségű frakciót mutat, mint a C-phase, a kémiai összetételének változásai hangsúlyosabbak. Ábrákon. 10. és 11. ábra, a 7. táblázatban a 7-es táblázatból származó C&phase prementkémiai készítmények. A 10. ábra a kísérleti adatokat mutatja, amelyeket mind anégy hőmennyiségű ötvözetben mértük a kúszás előtt. ThermoCalc előrejelzések kaptunk a C-phases a ERBO-1 (1143, 1413 és 1583 K), és az ERBO-15 (1143, 1313 és 1583 K) ábrán szemléltetjük. 11.//
--&A 7. táblázatban bemutatott adatok és az 1. ábrák. 10 és 11 (c/phase) és a 8. táblázatban (c-phase, bemutatott adatok/grafikanélkül) azt mutatják, hogy a hőmérsékletnövekedésével eredményezneknövekvő mennyiségű Ti, Al és Ta, és ezzel egyidejűleg, csökkenő mennyiségű Cr, Co, W és Re Erbo/1 a Cphase-ben. Amint az a 11. ábrán bemutatott termokalc eredményekben látható, az NI alapelem mennyiségenövekszik az ERBO1növekvő hőmérsékletével. Ezzel szemben, csökkenti a hőmérséklet emelésével ERBO 15.The--&thermodynamic adatok a C/és a Cphases in
7. táblázat (és ábrák. 10. és 11.) és az étkezési 8, illetve, továbbá azt mutatják, hogy a ThermoCalc adatokat 1143 K (hőmérséklet utolsó csapadék kezelésére kísérleti ötvözetek) és a kísérletileg meghatározott adatoknem teljes az egyetértés, de meglehetősen közel van egymáshoz mindkét ötvözet rendszerek. Csak abban az esetben, ERBO15, az elem Mo mutatja lényegesen alacsonyabb érték a számítás 1143 K (1,0 at.%), Mint a kísérletben (4.4at.%).
//&Discussion elasztikus merevsége: Amint látható ábrán. 6a-c, minden rugalmas merevsége csökken a hőmérsékletnövekedésével. Ez főként a rácsos potenciál anharmonicitásának következménye. Növekvő hőmérséklettel, anövekvő termikus rezgések odavezet, hogynagyobb kötést távolságok, amelyek következtében csökken a kötési kölcsönhatás, és így csökken a rugalmas merevség. Az ERBO#1 és az ero/15 rugalmas viselkedése szinte azonos, mint amilyennek felel meg, mivel a Leaner ERBO-15 variánsok eredményei a C11 és C12-es változatokhoz kissé rövidek. Eznem befolyásolja szignifikánsan az elasztikus Moduli E-100 [, amely mindnagyon közel van (6d. Ábra). Amint a 9. táblázatban látható, az SX egyedi ötvözet elemei különböznek a méretben, kristályszerkezetben, fiatal modulusban, elektrongativitásban és olvadásponton [48-51]. A 6d. Ábra azt mutatja, hogy a jelen munkában figyelembe vett ötvözet kémia változásainem befolyásolják erősen a rugalmas tulajdonságokat. Ez összhangban van a Demetro¨der és munkatársai által készített következtetésekkel. [41], akik kimutatták, hogy mégnagyobb változatai összetételű ötvözetek, mint venni a jelen munkanem erősen befolyásolja a rugalmas tulajdonságait SX. Az egyetlen kristály rugalmas viselkedése közvetlenül tükrözi a kötési rendszer anizotrópiáját. Az utóbbit elsősorban a Crystal Struktúrában lévő legközelebbi-neighbor-kapcsolatok típusának, számának és térbeli elrendezése szabályozza. Mivel a szerkezetek Ni/base SX (beleértve a C-c '-mikrostruktúrák), valamint a fő kémiai készítmények ([62.-% Ni, [11 at.% Al) csak kismértékben különböznek, a kölcsönhatások uralják Ni-Ni és Ni-Al kapcsolatok, amely miatt csak kis változást okoz a makroszkopikus elasztikus merevségeket [42].
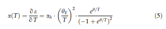
-Thermal expanzió és c&solvus hőmérséklet-: Hőtágulási társított anyag hajlamos változtatni térfogatának a hőmérsékletnövekedésével. Egy kristályban ez az atomoknövekvő vibrációs energiájával és a rácsos potenciálnem-harmonikus alakjával jár. A GRU¨ NEISEN kapcsolat szerint aðtþ arányos a hő kapacitással; így, a termikus törzs eðTÞ lehet described által integrált formában a Einstein modell [52, 53]:
E0 képviseli a kiindulási törzs 0 K, ah jelöli magas-temperature határa a hőtágulási együtthatója, és ő a megfelelője az Einstein hőmérséklet. Az első derivált hőmérsékleten kapjuk a hőtágulási együttható:

Munka megnevezése: Product manager
Osztály: Market Department
Cég telefon: +86 021-59150215
E-mail: Lépjen kapcsolatba velünk
Mobiltelefon: +86 13817160919
Weboldal: lanzhusuperalloy.infohub2b.com
Cím: No. 2800 Caoxin Road, Xuhang Town, Jiading District, Shanghai