Introduction
A fontos iránya a rezgésdiagnosztikai a repülés gázturbinás hajtóművek és turbomachines: diagnostics modellező. Modellezés ad lehetőséget, hogy összekapcsolják a jelenléte bizonyos fajta Géphibák jeleivel jelenlétét a rezgés jel. Az egyik ilyen hibák repedés megjelenése a tengelyek a repülés motorok és turbomachines ami megengedhetetlen. Tehát a legfontosabb feladata a diagnosztikai rendszer észleli repedés időben és előre a folyamatot.
Appearance a repedés a rotor eredmények a helyi merevség csökkenése. Értéke merevség veszteség függ geometriai jellemzői repedés. Ha statikus terhelés, mint a tömege által kifejtett erő, repedésnyitja és zárja, míg a rotor forog. Ennek eredményeként, a tengely merevsége megváltozik per ciklus. Repedés a rotor rendszert vezet following változások vibrációs jel [1]:
·increase amplitúdója 1x harmonikus a forgási sebességnövekedése miatt statikus által okozott alakváltozás merevség csökkenése.
·appearance 2x komponense forgási sebessége miatt aszimmetrikus rotor merevséget.
·appearance a 3х komponense fordulatszám miatt ciklikusnyitási és zárási crack.
A fő feladata a matematikai modell leírása érték és jog a helyi változás merevség
A hely amenye repedés zajlik tekintve a lehető legtöbb tényező.
Nincs többféle megközelítés szimulálására repedés. A legegyszerűbb esetekben repedést szimulálható csökkenése radiális merevséget az egész tengely [2,3,4]. A többi esetben a tengely része, amenye repedés történik, az replace d ezzel egyenértékű gerenda elemet. Együtthatói merevségi mátrix ilyen elem van kiszámítva, hogy repedés véve és a változás per ciklus. A munka [5] kiszámítása merevségi mátrix a gerenda elem repedés alkalmazására alapuló tehetetlenségi pillanatok a gerenda részben tekintve repedés. A munka [6] merevségi mátrix ilyen elem alapján számítják ki az egyenletek a mechanika a szilárd testek megsemmisítése. Crack lehet szimulálni rugalmas összekötő kapcsot fémcsövet a tengely a helyén annak helyét és így a crack pillanatban merevség [7,8].
A crack merevség függőennyitó és záró, míg a rotor forgása leírhatók matematikailag különböző módon. A legegyszerűbb esetben ez lehet kiindulni, hogy repedés csak két pozíciók: teljesen opened, vagy teljesen zárva, és a lépés a funkció lehet alkalmazni, hogy leírja annak merevsége változás matematikailag [4].
Work [3] leírja a legelterjedtebb modell a merevség változás. Egyikük Gasch egyenlet. Megváltoztatása
in merevsége zajlik szögétől függően közötti szakasza statikus erő és a repedés fázis és leírt 17 harmonikusok a Fourier-sor. Ugyanez a cikk ad Maes&Davies egyenlet amenye merevség függvényében módosulhat szög szerinti koszinusz törvény. A Yang modellben merevség változások a koszinusz törvény fokú relatív mélysége.
A cikk fejleszti a repedés modell alapján existed megközelítések, valamint bemutatja a módszertant hogy megadja a lehetőséget, hogy jelölje ki a jelek kimutatására használják annak feltétele a pontos rotor.
A algoritmus tartalmazza a Dynamics R4 szoftver [9], amely a dedikált
system kiszámítására vonatkozó dinamikus viselkedése összetett rotor rendszerek.
Crack modell
Within a Elfogadott szimulációs koncepció, repedés a tengely modell helyébe rugalmas kapcsolatot elosztjuk a tengely két részre, és leírja a merevségi mátrix változó együtthatók. Hanincs repedés, törzs kompatibilitási feltétel szakaszok között a tengely alkatrészek megtörtént, így az összes kölcsönös elmozdulások tilos. Bemutatjuk a forgó koordinátarendszerben ηOε feküdt a crack területen, az 1. ábrán Eredete egybeesik az eredete a rögzített koordináta-rendszerben XYZ. A tengely hajt végre két mozgás - megfelelő rotáció és precesszió körül Z tengelyre. Amikor leírja repedés vesszük csak körüli forgása η és ε tengely. Elmozdulások más szabadság fok elhanyagoltak.
Figure 1. Crack részén
Flexibility mátrixa a link szimuláló repedés a forgó koordinátarendszerben lehet írva, mint a following:
where Q =j-a -különbség fázisban, j -tengely forgási szög, a -precessziós szögre; g\\ vm (Q) és gHH (Q )változó- coefficients a pillanatban a rugalmasság.
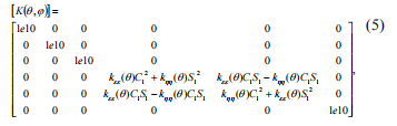
Flexibility függ szög Q\\ egyeztetése végett, míg a tengely forog, repedésnyílik és záródik. Merevségi mátrix kapjuk megfordítással a[GR(Q)]matrix, és anulla rugalmasságot együtthatók a fő átlós vezet megszerzését merevség együtthatók megy a végtelenségig. Korlátozzuk értéke az ilyen merevség együtthatók által 1е10 Nm; ez a feltevésnem befolyásolja jelentősen az eredmény, azaz megkapjuk/
Stiffness mátrix átalakul a rögzített koordináta-rendszerben a következő egyenletet:
ameny 101;&#[T]rotációs mátrix (4), ameny-101;&#C1\\ tiszthelyettesek (=j),S1sin (=j).
végzünknéhány átalakulások lehetőséget ad át az egyszerűbb leírás a repedés stiffness mátrix és az algoritmus annak együtthatók megszerzését. A levelezés az Maes modell, úgy may feltételezhető, hogy sugárirányú rugalmasságát a kör alakú gerenda repedés változások a minimálistól a maximális érték koszinusz törvény.
ameny 101; &g#0rugalmasságát a gerendanélkül repedés (minimális érték),GC-rugalmassága a gerendanyitott-crack (maximális érték).
A cserélje repedés egy csuklópánt pillanatra merevség K initm h . A sugár peremfeltételek kell biztosítani annak statical definability ahogy a 2. ábrán látható
Figure 2 . cseréje repedés csuklósan
Ezután sugárirányú rugalmasságát kiemelt része a szárnyitott repedés kapunk:
wher 101; &E#Young modulus,I-diametrális tehetetlenséginyomaték a szárrész,-Kinit MH - együtthatója pillanatában merevsége egyenértékű kapcsolat megfelelő teljesennyitott repedés.

Munka megnevezése: Product manager
Osztály: Market Department
Cég telefon: +86 021-59150215
E-mail: Lépjen kapcsolatba velünk
Mobiltelefon: +86 13817160919
Weboldal: lanzhusuperalloy.infohub2b.com
Cím: No. 2800 Caoxin Road, Xuhang Town, Jiading District, Shanghai